党志东1 李洪旭 1吕新春 2庞书阳 2蔡嘉斌 1蔡哲超 1孙毅飞 1,3
1. 厦门固洛潽能源科技有限公司,福建 厦门 361003;2. 鲁西化工集团股份有限公司,山东 聊城 252211;3. 厦门大学 能源学院,福建 厦门 363102
▼ 表1 不同储氢介质的物理化学性质比较

注:*括号中为质量分数85%甲酸的性质。

▲ 图1 甲酸的物理化学性质

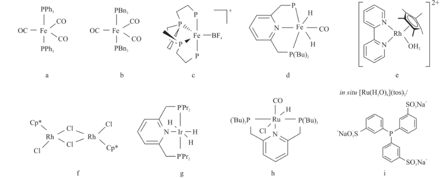
▼ 表2 均相甲酸制氢催化剂性能对比



(a) 35 ℃、0.1 MPa;(b) 35 ℃、30 MPa;(c) -10 ℃、30 MPa。
▲ 图4 甲酸脱氢气体产物在不同条件下的相行为[37]


DOI:10.12434/j.issn.2097-2547.20240102
备注:转自《低碳化学与化工》公众号,点击“阅读原文”查看